Zur Test-Überblicksseite


Wo liegt der Fehler?

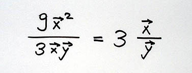
Division zweier Vektoren

Betrachten Sie die dargestellte Rechnung! Sie enthält einen Fehler. Worin besteht er? Eine der angebotenen Antworten ist richtig. Klicken Sie auf das entsprechende Fragezeichen! Ihr Ziel sollte sein, nicht zu raten, sondern den Fehler bereits beim ersten Versuch richtig aufzudecken.
Wenn Sie auf das Bild klicken, erscheint ein Zusatzfenster, in dem der Fehler besprochen wird.
Lassen Sie sich Zeit - wenn Sie die Seite länger betrachten wollen, dann Sie sie einfach aus!

Klicken Sie für die Auflösung!




 

Sie haben    von erreichbaren Punkten erzielt.
Informationen zum Punktesystem


Mathematische Hintergründe zu diesem Test:
Vektoren 1

 Zur Test-Überblicksseite
 Zur Galerie
 Zu den Mathematischen Hintergründen
 Zum Lexikon
 Zu den Mathe-Links und Online-Werkzeugen
 Zur Welcome Page